充满管道的介质,当它们流经管道内的孔板或喷嘴时,流速将在节流装置的节流处形成局部收缩,从而使流速增加,静压力降低,于是在节流装置前后便产生了压差压,介质流动的流量越大,在节流装置前后产生的压差也越大,所以可通过测量压差来衡量流体流量的大小。这种方法测量时以能量守恒定律和流动连续性定律为基准的。
标准孔板是用不锈钢或其他金属材料制造的薄板,具有圆形开孔并与管道同心,其直角入口边缘非常锐利,且相对于开孔轴线是旋转对称的,顺流的出口呈扩散的锥形,如下图所示。对标准孔板的特征尺寸要求为:节流孔径d不小于12.5mm,直径比 d/D应在0.2-0.75之间,D为管道直径,直孔厚度h应在0.005D-0.02D之间,孔板的总厚度H应在h-0.05D之间,圆锥面的斜角α应在30°-45°之间。
标准孔板结构简单,加工方便,价格低廉。单对流体造成的压力损失较大,测量精度较低,而且一般只使用于洁净流体介质的测量。在测量大管径高温高压介质时,孔板容易变形。


标准孔板示意图
标准孔板分类
1、角接取压标准孔板,型号LGHK
2、法兰取压标准孔板,型号LGFK
3、径距取压标准孔板,型号LGJK
4、径距取压环室孔板,型号LGJH
5、角接取压圆缺孔板,型号LGHQ
6、角接取压标准喷嘴,型号LGHP
7、径距取压长径喷嘴,型号LGJP
8、经典文丘里管,型号LGWG
9、机翼测风装置,型号LGJYF
10、双文氏里管,型号LGSW
11、V锥流量计,型号LGKV
12、楔形流量计,型号LGQX
13、插入式多喉径流量计,型号LGDH
标准孔板和标准喷嘴是最常用节流装置之一,孔板和喷嘴应用举例:锅炉给水流量测量通常选用角接取压标准孔板(型号LGHK),锅炉给水流量测量系统由孔板、差压变送器和智能流量积算仪构成;锅炉过热蒸汽流量测量通常选用角接取压标准喷嘴(型号LGHP),锅炉过热蒸汽流量测量系统由标准喷嘴、差压变送器、压力变送器、热电偶和蒸汽冷凝罐组成。
标准孔板(喷嘴)安装要求
1、对于新设管路系统,必须先经扫线(指管道吹扫)后再安装标准孔板或喷嘴,防止管道内杂质堵塞或损伤节流装置。
2、安装前应仔细核对标准孔板或喷嘴的编号、位号、规格是否与管道条件、流量范围等参数相符。在孔板或喷嘴取压口附近有“+”的一端应与介质上游管道联接,标有“-”的一段应与介质下游管道联接,节流装置的中心线应与管道中心线同轴。
3、标准孔板或喷嘴取压口在管道中的安装位置:
①测量介质为气体时应防止水或污物进入导压管,标准孔板和喷嘴在水平或倾斜管道中安装时,取压口位置应该在水平线上方且与水平线夹角A应该大于45度,如图所示:

②测量介质为液体时应防止气体进入导压管,标准孔板(标准喷嘴)在水平或倾斜管道中安装时,取压口位置应该在水平线下方且与水平线夹角A应该小于45度,如图所示:


④标准孔板和喷嘴在垂直主管道中安装时,取压口的位置在取压装置的平面上,可任意选择。
孔板、差压变送器、三阀组和截止阀构成最基本的差压式流量计,如果差压式流量计测量蒸汽等高温介质,还需要配置冷凝管。差压式流量计差压变送器的量程是由孔板生产厂家提供的,孔板订货时用户需要提供的参数在本站《孔板计算书》中有详细介绍,订货前您可先去看看买孔板需要哪些技术条件!
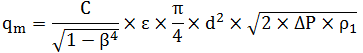
1、使用标准孔板时,质量流量的基本计算公式为:

公式中qm为质量流量(单位:m3/s),C为流出系数,β为直径比(β=d/D,d为工作条件下一次装置节流孔或喉部的直径,D为工作条件下上游管道内径或经典文丘里管上游直径,d和D的单位为m),ε为可膨胀系数,ρ1为工作状态下标准孔板上游侧的介质密度(单位:kg/m3),d为工作状态下孔板直径(单位:m);△P为标准孔板上下游压差(单位:Pa)
2、使用标准孔板时,体积流量的基本计算公式为:
公式中qv为体积流量(单位:kg/s),qm为质量流量(单位:m3/s),ρ为测定体积流量时的温度和压力下的流体密度(单位:kg/m3)

