当继电器返回系数不合要求时怎么办?
所谓返回系数Kf是反映吸力特性与反力特性配合程度的一个参数,也即表征继电器动作值与释放值的差异性。不同用途的继电器,往往要求不同的返回系数,当继电器的返回系数不能满足使用要求时,可采取相应的措施来改进返回系数。下图1为减少Kf的电路,而图2则是增大Kf的电路。图中的R取值应适当,也就是说串入R后,必须使加至继电器线圈的电压仍要大于其动作电压或保持电压。
继电器触点吸合、释放时间不符要求时,怎样改善?
有人问:“继电器有响应时间吗?”在普通继电器中不叫响应时间,而是叫吸合、释放时间,或称为动作时间。普通继电器由于结构特点,所以吸合和释放时间是不相同的,它取决于磁通变化的速度、反作用力的大小、衔铁行程等。普通继电器动作时间一般为0.05-0.4s。
对于特定的继电器,其吸合、释放时间是有规定的,并且是有一定范围的,因此对于在用的继电器,当其吸合、释放时间不能满足使用要求时,可以改变继电器线圈回路的时间常数来解决。但这样的改变是有限制的,只能作为一种应急手段。
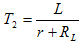
我们知道继电器线圈的时间常数T等于线圈电感L与电阻r之比。如果在继电器线圈回路里串入一个电阻Rf,则
就小于
。需加速吸合时,可在继电器线圈回路中串入一只电阻Rf,并将电源电压适当提高,以保证线圈的吸合电流维持不变,则可达到加速吸合的目的。如果在R两端再并联一只电容C,则吸合时间更短,如图3所示。电容C两端电压不能突变可视为短路,这样就将比继电器线圈额定工作电压高的电源电压加到线圈上,从而加大了线圈中流过的电流,使继电器迅速吸合。电源稳定之后电容C不再起作用,而电阻Rf起限流作用。
在继电器线圈两端并联RC,如图4所示,当接通电路后,电流稳定时RC电路不起作用,断开电路时,继电器线圈由于自感而产生感应电动势,经RC电路放电,使线圈中电流衰减放慢,从而延长了继电器衔铁的释放时间,起到延时断开的作用。
如果在继电器线圈两端反向并联一只二极管,也可达到延时的目的,只需把图4的RC元件更换为一只二极管即可,如图中虚线所示。当继电器线圈断电后二极管导通等于给铁芯增加了一个短路线圈,感应电动势所产生的电流正好从二极管的正向流过,电阻很小,因而使继电器的释放时间延长了,二极管在正常工作时,其反向电阻很大,基本无电流流过,故电能的消耗极小。图4电路还具有消火花的作用,详见本站“怎样消除继电器触点动作时产生的火花?”的分析。

