
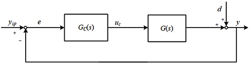
PI控制器可以消除余差,根本原因是在闭环中增加了一个原点极点,将闭环系统从0型系统升级为1型系统。关于如何设置积分时间,一般的说法是积分时间大,积分作用弱,消除余差速度慢;积分时间小,积分作用弱,消除余差速度快。那么到底应该如何设置积分时间呢?PI控制器同时还增加了一个零点,可以消除被控对象的时间常数对闭环系统的影响,这一点一直没有被充分重视。
对PI控制器的传递函数进行变换和重构,有助于理解如何设置积分时间。根据下面的公式变换后,可以把PI控制器看作比例环节、积分环节和PD环节的组合。比例环节中的积分时间,可以看作比例作用的一部分,通过设置合适的比例增益就能对冲,并不需要特别关注。
在PD环节中,积分时间被变换成微分时间了。如何设置积分时间就和对PD环节的要求有关了。

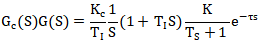
要想整定方法获得闭环性能一致,最关键就是要把被控对象特性的影响对消掉。模型的增益可以用比例增益对消,纯滞后环节是不可对消的。从下面的公式可以看出设置积分时间等于时间常数可以让问题变得简单。

积分时间等于时间常数后,被控对象时间常数对闭环系统的一阶惯性影响就被对消了,开环传递函数就变成了下式。这时就进一步可以看出来,为了消除模型增益和模型时间常数的影响,比例增益应该和模型时间常数成正比、和模型增益成反比了。

要想获得一致的闭环性能,就要保证相位裕度的稳定。此时针对不可对消的纯滞后环节的最佳应对就是比例增益和纯滞后成反比。另外为了修改相位裕度就要提供一个可调的参数,所以PI的整定规则就是下式。

这个Ω的取值在频率里有非常清楚的解释,但是对工程师来说物理意义并不直观,上面的公式可以进一步重构为如下公式所示的Lambda整定。Lambda整定方法中的λ和纯滞后有关,代表了期望的闭环时间常数。工程上要求λ大于等于纯滞后,将λ设置为纯滞后时间的倍数既是为了方便工程化,也有理论上的考量。理论上并没有这个要求。

再给上面的公式进行一系列工程改进和简化,就构成了Lambda工程整定方法的全部。

作者:冯少辉博士

