
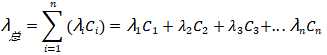
式中λ总为混合气体的总的热导率;λi为混合气体中第i种组分的热导率;Ci为混合气体中第i种组分的体积分数。
从上式可以看出,如果根据总的导热率系数来推算某种组分的含量将变得十分困难,尤其是样品中存在多种背景组分时,但是,如果能够满足以下两个条件,第一,背景气中各组分的热导率近似相等或十分接近或其含量小到可忽略不计的程度,即λ2≈λ3≈λ4≈… …λn,或对测量影响较大的组分的含量近似于零;第二,待测组分的热导率与背景气组分的热导率有明显差异,而且差异越大仪表灵敏度越高,即λ1>>λ2或λ1<<λ2,满足上述两个条件时上式可以简化为:

可得 :
,式中λ总为混合气体的总的热导率;λi为混合气体中第i种组分的热导率;Ci为混合气体中第i种组分的体积分数。如果测得混合气体的热导率λ总,就可以求得待测组分的含量Ci。
根据以上理论分析,热导式分析仪特别适合使用在热导率相差较大的二元混合气体的场合。
由于气体的热导率很小,它的变化量则更小,所以很难用直接的方法准确地测量出来。工业上多采用间接的方法,即通过热导检测器(又称热导池),把混合气体热导率的变化转化为热敏元件(常用的热敏元件有热丝型和半导体热敏型两种)电阻的变化,混合气体流经热敏元件时,会带走热敏元件上的一部分热量。热敏元件也有一种特性,当存在热量损失时,它的阻值会发生变化。在某段温度范围内,热量损失的速率与被测混合气体的含量之间有很好的对应关系,而热敏元件电阻值变化利用惠斯通电桥电路很容易精确测量出来。这样,通过对热敏元件电阻的测量便可得知混合气体热导率的变化量,进而分析出被测组分的浓度。
热导池的机械结构有多种形式 ,下面两个图为ABB公司的生产的两款不同用途的检测器。薄膜型检测器在半导体硅材料上光刻测量电阻和参比电阻,这类检测器灵敏度高,但耐腐蚀能力相对较差;热丝型检测器的热丝外面镀玻璃层,耐腐蚀能力和使用寿命较长,价格也相对比较昂贵。


检测器连接和配置方案及电路也有多种形式。典型的有单检测元件对应单惠斯通电桥型(如图所示,简称单臂型),这种形式结构简单,灵敏度相对较低;双检测元件对应单惠斯通电桥型(两个检测元件同时用于测量,如图所示,简称双臂型 ),这种测量方式灵敏度较高;双检测元件带参比对应单惠斯通电桥型(两个检测元件,一个用于测量,另一个用于参比,如图所示,简称双臂参比型),这种测量方式精度较高;还有双检测元件对应双惠斯通电桥型电路等多种形式。电桥供电有可调节恒压型、恒流型及交流型等多种方式。



因为检测器热敏元件与样气是直接接触的,当遇到背景气存在酸性气体(如 H2S,SO2等)的使用场合,为了提高热敏元件的使用寿命,有些厂家的产品在热敏元件上通过特殊的工艺镀一层薄薄的玻璃层,因存在玻璃镀层,故仪表灵敏度有所下降,但抗腐蚀能力和使用寿命极大提高。 另外,玻璃镀层制作工艺复杂,这类检测器价格相对比较昂贵。

