一、标准热电偶分类
标准热电偶分为一等标准铂铑10-铂热电偶和二等标准铂铑10-铂热电偶两种。
二、标准热电偶用途
一等标准铂铑10-铂热电偶用于检定二等标准铂铑10-铂热电偶;二等标准铂铑10-铂热电偶用于检定工业用热电偶以及精密测量300-1300℃温度范围内的温度。
三、标准热电偶结构
标准热电偶正极为铂铑10丝,负极为铂丝;标准热电偶测量端上面套有长度为550mm的双孔高纯度高铝瓷管;标准热电偶参考端正极套红色或粉色塑料管,负极套白色或蓝色塑料管;整支标准热电偶置于玻璃外护管中保存。
四、主要技术指标
测量范围 300-1300℃
测量误差 一等标准铂铑10-铂热电偶<0.5℃;二等标准铂铑10-铂热电偶<1℃
偶丝直径 Φ0.5mm
长度 1000mm
标准热电偶电势值要求:
1、标准热电偶测量端在铜点(1084.62℃)、铝点(660.323℃)或锑点(630.63℃)及锌点(419.527℃),参考端温度为0℃时,其热电势应满足以下要求:
E(tCu)=(10.575±0.015)mV
E(tAl)=5.860+0.37[E(tCu)-10.575]±0.005mV
E(tAsb)=5.553+0.37[E(tCu)-10.575] ±0.005mV
E(tZn)=3.447+0.18[E(tCu)-10.575] ±0.005 mV
2、二等标准铂铑10-铂热电偶稳定性由其铜点的电动势变化(两次热电势差值)决定,新制造的二等标准热电偶不超过5μV,使用中的二等标准热电偶铜点热电势的年变化量不超过10μV。
3、一等标准铂铑10-铂热电偶稳定性由其铜点的电动势变化(两次热电势差值)决定,不超过3μV;铜点热电势的年变化量不超过5μV。
五、标准热电偶型号命名
一等标准铂铑10-铂热电偶型号:WRPB-1
二等标准铂铑10-铂热电偶型号:WRPB-2
六、标准热电偶使用注意事项
1、标准热电偶使用和保存中,瓷管和塑料管不得随意取下,应力求保持标准热电偶平直,不可严重弯曲。在运输、保存中,应避免标准热电偶受到剧烈的机械震动。
2、标准热电偶在出厂时外包装盒配置内500mm石英玻璃管和1000mm普通玻璃管各一支。保存或运输时将标准热电放入普通玻璃管内,防止标准热电偶变形;测量时将标准热电偶从普通玻璃管内取出放入石英玻璃管中(把石英玻璃管作为保护管),防止标准热电偶丝材受到杂质污染而导致精确度降低。
3、标准热电偶应按《标准铂铑10-铂热电偶检定规程 JJG75-1995》规定,定期进行监督性检查和周期检定。
4、标准热电偶出厂所附计量检定证书请妥善保存,再次检定时需带上原计量检定证书。
七、标准热电偶使用方法
1、标准热电偶的编号与计量检定证书产品编号必须一致,否则不能作为标准热电偶使用。
2、使用前将标准热电偶小心从玻璃管保护管内取出放入石英玻璃管中,即可测量。使用结束后应将标准热电偶放入普通玻璃管内保存。
3、使用标准铂铑10-铂热电偶检定较低等级的标准热电偶时,标准热电偶和被测热电偶的参考端应处于0℃。标准热电偶与被测热电偶参考端的温差<0.1℃。热电偶参考端和铜导线的末端可插在盛有水银或变压器油的玻璃管中(玻璃管外径约为Φ7mm,插入深度为100-120mm;各个玻璃管内水银或变压器油应保持相同高度,液面高度约为10mm)。具体方法步骤应按照《标准铂铑10-铂热电偶检定规程 JJG75-1995》进行。
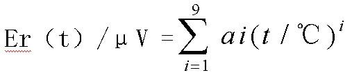
4、使用标准热电偶精密测量温度时,温度t由下列公式确定:

公式1:
公式2:E(t)=Er(t)+△E(t)
公式3:△E(t)μV=a+bt+ct2
说明:
(1)公式1中Er(t)为热电偶的参考函数,其数值已编成表,在《标准热电偶使用说明书附录》中查得。
(2)公式2中E(t)为热电偶在某一温度下测得的热电势值。
(3)公式3中△E(t)为热电偶偏差函数;a、b、c为三个常数,由标准热电偶计量检定证书给出。
八、E(t)- t对照表编制
计算温度时,应先根据热电偶大致使用温度段,编制相应的E(t)- t对照表,然后根据热电偶测得的热电势值按上述编制的对照表,线性内插即可求得温度t。对照表的温度间隔由使用者自定义,如果精度要求不太高,可编制整百度间隔的对照表。
举例:产品编号2014-025#标准铂铑10-铂热电偶,证书上给出常数值:
a=-2.2035
b=1.0116×10-2
c=-2.9569×10-6
标准热电偶使用在800-900℃范围内,温度间隔为10℃,编制相应的E(t)-t对照表:
1、800℃时标准热电偶热电势值计算
E(800℃)/μV =Er(800℃)+(-2.2035)+(1.0116×10-2×800)+(-2.9569×10-6×8002)=7346.1
2、810℃时标准热电偶热电势值计算
E(810℃)/μV =Er(810℃)+(-2.2035)+(1.0116×10-2×810)+(-2.9569×10-6×8102)=7455.0
3、820℃时标准热电偶热电势值计算
E(820℃)/μV =Er(820℃)+(-2.2035)+(1.0116×10-2×820)+(-2.9569×10-6×8202)=7564.3
以此类推编制出800-900℃范围的E(t)-t对照表
t/℃
E/μV
800
7346.1
810
7455.0
820
7564.3
830
7673.9
840
7783.9
850
7894.2
860
8004.9
870
8116.0
880
8227.4
890
8339.2
900
8451.3
现测得某温度点热电势值为8000.0μV,该点的温度t介于850-860℃之间,则


