
1、前言
在水泥回转窑生产过程中,会产生大量的高温烟气,这些烟气直接排入大气,一方面会造成能源损失,另一方面会造成环境温度升高,污染环境。利用水泥窑排出的高温烟气建设水泥余热发电电站是提高生产效益、节约能源、实现可持续发展的重要途径。
水泥余热发电电站较一般电站具有一定的特殊性,主要表现在水泥窑排放的烟气量和烟气温度不易控制。由于水泥窑的生产工艺、生产方法、原料、燃料条件发生变化,产生的废热烟气品质也随之波动较大,给纯低温余热锅炉的余热利用带来了很多困难。另一方面,水泥余热发电余热锅炉汽包热容量较小,受水泥回转窑运行情况的制约,在热源不稳定的情况下,导致汽包水位波动剧烈。
汽包水位的控制是水泥余热发电余热锅炉控制系统的重要组成部分,因此在汽包水位控制系统设计中,要尽量考虑水泥余热发电锅炉的特点和发电系统工艺要求,最大限度地利用烟气的余热,稳定蒸汽参数,保证汽轮机在稳定工况下运行。
2、余热锅炉汽包水位控制的任务
在水泥窑余热锅炉系统中,汽包是整个锅炉系统中的重要部分,是实现汽水分离的关键装置。为了锅炉系统的可靠、稳定运行,必须尽量减小汽包水位的测量误差,提高汽包水位的控制精度。锅炉汽包水位的控制对锅炉的安全运行尤为重要,因为汽包水位的过高或过低都会引起蒸汽品质变坏或者水循环恶化,甚至会造成严重事故。水位过高,会使蒸汽带水带盐,蒸汽品质下降,严重时对汽轮机叶片产生危害,直接影响生产安全水位过低又会影响蒸发器的水循环,引起蒸发器局部过热而损坏。
锅炉给水控制的任务是使锅炉给水量适应锅炉蒸发量,并使汽包的水位保持在一定的范围内。
3、水泥窑余热锅炉汽包水位动态特性
影响余热锅炉汽包水位的主要参数是给水流量、蒸汽流量和水泥回转窑烟气量及温度变化。其中任一参数发生变化时,汽包水位都可能出现“虚假水位”的现象,系统具有大滞后、非线性的特点。
3.1 给水流量对汽包水位的影响
给水流量的扰动来向控制调节阀,称为内部扰动。在给水流量的作用下,汽包水位变化的阶跃响应曲线如图1所示。

图1 给水流量扰动下水位阶跃响应曲线
当给水流量阶跃ΔW后,水位H的变化如图1中曲线2所示。如果把汽包和给水看作单容量无自平衡过程,水位阶跃响应曲线应为图中的曲线1。但是由于给水温度低于汽包内饱和水温度,给水吸收了原有饱和水中的热量,使水面下汽泡容积减小,所以扰动初期水位不会立即升高。当水面下汽泡容积的变化过程逐渐平衡,水位就反应出由于汽包中水量的增加而逐渐上升的趋势,最后,当水面下汽泡容量不再变化时,由于进、出工质流量不平衡,水位将以一定的速度直线上升。曲线3为只考虑给水流量变化时水面下汽泡容积变化所引起的水位变化,可以认为是一个惯性环节。在给水流量扰动下实际的水位变化用曲线2表示,可以认为曲线2是曲线1和曲线3合成而来。
3.2 蒸汽流量对汽包水位的影响
在蒸汽流量的扰动下,汽包水位变化的阶跃响应曲线如图2所示。

图2 蒸汽流量扰动下水位阶跃响应曲线
当蒸汽流量D突然增加时,锅炉的蒸发量大于给水量,水位应该下降(如图2中曲线H1),而实际情况并非如此。当蒸发量突然增加时,汽水混合物中汽泡容积增大,若果余热锅炉进口烟气量稳定不变,必然导致汽包压力不断下降,饱和温度降低,促使蒸发速度加快,汽包内的水中汽泡体积迅速增加而使水位变化曲线如图中H2所示。水位实际变化曲线H为H1和H2的叠加。从图2中可以看出,当锅炉蒸汽负荷增加时,虽然锅炉的给水量小于蒸发量,但在开始阶段,水位不但未下降,反而迅速上升,然后再下降;当蒸汽负荷突然减小时,则水位先下降,然后迅速上升,这就是“虚假水位”现象。
3.3 余热锅炉进口烟气对水位的影响
在回转窑烟气温度T的扰动下,汽包水位变化的阶跃响应曲线如图3所示。

图3 水泥回转窑烟气扰动下水位阶跃响应曲线
当水泥回转窑烟气温度T突然增加时,锅炉的吸热量增加,蒸发强度增加,此时给水量未及时改变,蒸发量将大于给水量,水位应该下降。但是由于汽包汽泡容积的增加,水位先上升,然后才下降,出现“虚假水位”现象。
4、汽包水位自动控制系统
4.1 汽包水位控制方案
汽包水位控制包括单冲量、双冲量和三冲量控制方案。由于单冲量和双冲量控制方案比较简单,难以适应工况复杂的余热锅炉的控制要求,因此目前余热锅炉均采用串级三冲量水位控制方案。
串级系统的结构包括两个闭环:一个闭环在内部,称为副调节回路,在控制中起粗调作用;一个闭环在外部,称为主调节回路,完成细调任务。系统中有两个调节器,他们的作用各不相同。主调节器具有自己独立的给定值,它的输出作为副调节器的给定值;副调节器的输出信号送到调节机构控制生产过程。
三冲量汽包给水控制如图4所示,以锅炉汽包水位作为本控制信号,构成主调节回路,以给水流量作为串级信号,构成副调节回路,以蒸汽流量信号为前馈信号,构成前馈调节回路。主调节回路、副调节回路和前馈调节回路共同构成锅炉汽包水位串级三冲量自动控制系统。副调节回路的作用主要为快速消除内扰,主调节回路用于校正水位偏差,前馈调节回路路用于补偿外扰、主要用于克服“虚假水位”现象。

图4 水泥余热发电串级三冲量给水控制系统方框图
汽包水位三冲量给水自动控制系统接受汽包水位、蒸汽流量和给水流量三个信号。其中,汽包水位是主信号,任何扰动引起的水位变化,都会使调节器输出信号发生变化,通过调节给水阀门改变给水流量,使汽包水位恢复到给定值;蒸汽流量信号是前馈信号,其作用是防止由于“虚假水位”而使调节器产生错误的动作,改善蒸汽流量扰动时的调节质量;蒸汽流量和给水流量两个信号配合,可消除系统的静态偏差。当给水流量变化时,测量孔板前后的差压变化很快并及时反应给水流量的变化,所以给水流量信号作为介质反馈信号,使调节器在水位还未变化时就可根据前馈信号消除严,使调节过程稳定,起到稳定给水流量的作用。
4.2测量信号的校正
(1)汽包水位的校正
汽包锅炉通常利用压差原理测量其水位,而锅炉从启动、停止到正常负荷的整个运行范围内、汽包内蒸汽和饱和水密度随压力变化、这样就不能直接用压差信号来代表水位,因此必须对测量信号进行压力修正。
同时,汽包水位的测量值至少要有3个,因此还需要对这些信号进行3取2的运算处理。差压原理测量的取压装置-平衡容器有单室平衡容器、双室平衡容器和蒸汽罩补偿式平衡容器三种。单室平衡容器测量原理简单,如图5所示,因汽包内的饱和水、蒸汽与平衡容器内凝结水温度不同、密度不同,从而造成较大的测量误差。
图5 单室平衡容器差压水位计
双室平衡容器是差压式测量中非常普遍的一种装置,如图6所示,差压ΔP与水位H的关系为:

图6 双室平衡容器差压水位计

图7 蒸汽罩补偿式平衡容器差压水位计
---------------------------(1) 即
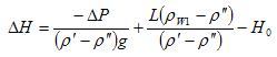
------------------------------------------------(2)式中:ΔP为汽包水位的差压,Pa;H0为汽包正常水位,mm;H为汽包实际水位,mm;ΔH为汽包实际水位与正常水位的差值,mm;L为汽包水位最大测量范围,mm;ρ′为汽包饱和蒸汽密度,kg/m3;ρ″为汽包饱和水密度,kg/m3;ρW1为平衡容器内水密度,kg/m3。
由式(2)看出水位变化ΔH与差压ΔP不成线性关系,ρ′和ρ″与汽包压力有关,ρW1与温度有关。所以,汽、水密度的易变性是双室平衡容器水位测量的重要误差来源,即使ΔH为0,不同汽包压力下ΔH并不一定为0,存在零点漂移的问题。
为了提高测量精度消除零点漂移的现象,可以采用蒸汽罩补偿式平衡容器。如图7所示,其做法就是用蒸汽罩对正压侧水槽加热,使槽内水在任何情况下与汽包压力下饱和水密度相同,式(2)可以变为
------------------------------------------------(3) 式中:ρa为平衡容器内水密度,kg/m3;ΔP为汽包水位的差压,Pa;H0为汽包正常水位,mm;H为汽包实际水位,mm;ΔH为汽包实际水位与正常水位的差值,mm;L为汽包负压端接口与平衡容器内管顶部的垂直高度,mm;ρ′为汽包饱和蒸汽密度,kg/m3;ρ″为汽包饱和水密度,kg/m3。
其中,ρa为环境温度下平衡容器内水密度,变化不大,可视为常值,通过合理地设计L和l,便可以使ΔP在ΔH=0条件不随压力变化而变化,消除零点漂移现象。
即:ΔP=ΔP0-gΔH(ρ′-ρ″)-------------------------------------------------------------------(4)
式(4)表明,蒸汽罩补偿式平衡容器输出的压差ΔP与汽包内汽、水的密度有关,也就是受汽包压力的影响。为了消除汽包压力对水位测量的影响,需要同时采集汽包水位和压力信号,并建立汽包压力与汽包内汽、水的密度的数学模型,然后通过式(4)进行校正计算,便可实现信号的自动校正。
(2)蒸汽流量的校正
过热蒸汽流量的测量通常采用标准喷嘴,它在设计参数下的测量精度较高,但当被测蒸汽的压力、温度偏离设计值时,工质的密度变化会造成流量测量误差,所以以需要进行压力、温度校正。蒸汽流量D的校正公式如式(5)。
--------------------------------------------------(5)式中:D为过热蒸汽流量,kg/h;p为过热蒸汽压力,MPa;t为过热蒸汽温度,℃;Δp为节流装置压差,MPa;ρ为过热蒸汽密度,kg/m3;K为流量系数
式(5)表明,过热蒸汽流量D与过热蒸汽的压力p和温度t有关。为了消除蒸汽压力、温度对流量测量的影响,需要同时采集蒸汽流量(节流装置压差)、压力和温度信号,然后通过式(5)进行校正计算,便可实现信号的自动校正。
(3)给水流量的校正
由于水的物理性质的复杂性,给水密度除了与给水温度有关外,还与给水压力存在一定的关系。在压力、温度对水密度的影响中,温度的作用是主要的。
对于水泥窑纯低温余热电站的给水介质主要运行参数如温度、压力只能在某一特定范围内变化,给水压力变化范围1.35-3MPa,给水温度变化范围100-200℃。计算结果表明,当给水温度为100℃、压力在0.196-19.6MPa范围内变化时,给水流量的测量误差为0.47%;压力19.6MPa不变、给水温度在100-290℃范围内变化时,给水流量的测量误差为13%。这就说明给水流量的测量只需采取温度校正。当然,若给水温度变化也不大的情况下,则可不必对给水流量进行校正。
5、结语
汽包水位串级三冲量控制系统在抗干扰能力、快速性、适应性和控制质量方面有较好的性能。为了更好地对汽包水位进行控制,应采用串级三冲量水位控制方案,这样可有效地将汽包水位控制在一定范围内,有利于提高蒸汽品质,保证水泥余热发电锅炉安全运行。
猜您喜欢
影响锅炉汽包水位的因素
汽包水位差压变送器测量误差的消除办法
水位三冲量调节控制策略及串级调节参数整定方法

